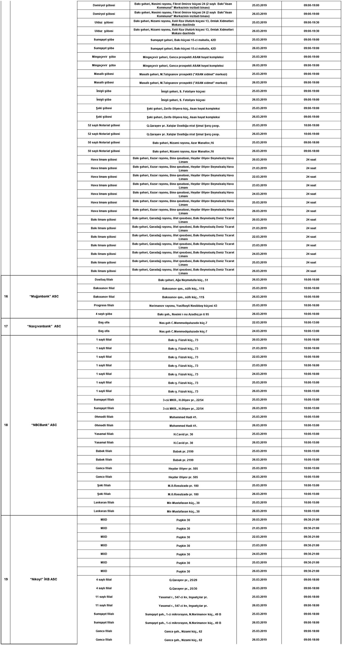
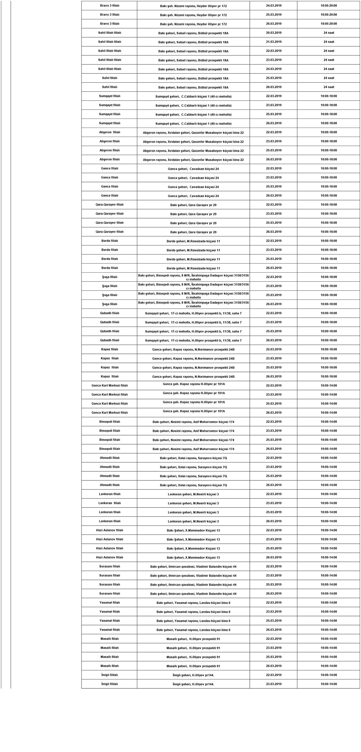
24 bankın 152 filial və şöbəsi gücləndirilmiş iş rejimində çalışacaq - SİYAHI
Ölkə əhalisinin və çoxsaylı turistlərin Novruz bayramı ilə əlaqədar qeyri-iş günləri ərzində bank xidmətlərindən rahat faydalanmasının təmin edilməsi məqsədilə 24 bankın 152 filial və şöbəsi gücləndirilmiş iş rejimində çalışacaq.
Bu barədə "Marja" Maliyyə Bazarlarına Nəzarət Palatasından bildirilib.
Bayram günləri ərzində ölkəmizə əhəmiyyətli turist axınının olacağını nəzərə alaraq onların valyuta mübadiləsi əməliyyatlarını rahat həyata keçirə bilmələri üçün Maliyyə Bazarlarına Nəzarət Palatası paytaxtda və əsas turizm bölgələrində yerləşən bankların filial və şöbələrinə gücləndirilmiş iş rejimində çalışmağı tövsiyə edib.
5 bankın Sumqayıt, Xırdalan, Gəncə, Lənkəran, Şəki, Xaçmaz, Quba, Bərdə, Naxçıvan və digər şəhərlərdə yerləşən 46 filial və şöbəsi müştərilərə xidmət göstərəcək.
Bakıda yerləşən 8 bankın 13 filial və şöbəsi 24/7 rejimində fəaliyyət göstərəcək.
Bundan əlavə, bayram günlərində Palatanın əməkdaşlarından ibarət xüsusi monitorinq qrupu fəaliyyət göstərəcək. Yarana biləcək hər hansı bir problemlə bağlı maliyyə xidmətləri istehlakçıları Palatada yaradılmış qaynar xəttə müraciət edə bilərlər:
Koordinator:
Azər Quluyev
Tel: 493-50-58 (dax:357);
Mob: +994 70 908 62 21
Mail: [email protected]
20-26 mart tarixlərində çalışacaq bank filial və şöbələrinin siyahısı və ünvanları
Müştərilərin xəbərləri
SON XƏBƏRLƏR
- 2 ay sonra
- 4 həftə sonra
- 28 d. əvvəl
-
-
41 d. əvvəl
ABŞ-nin müdaxiləsindən sonra təklif narahatlıqları fonunda neft qiymətləri "dalğalanır"
- 58 d. əvvəl
-
1 saat əvvəl
Venesuela ABŞ hökumətini inkişaf yönümlü əməkdaşlıq proqramı üzərində birgə işləməyə dəvət edir
-
3 saat əvvəl
“Azərbaycanla 33 milyard kubmetrlik qaz sazişini razılaşdırdıq, münasib qiymətə qaz alacağıq”
- 3 saat əvvəl
- 3 saat əvvəl
-
1 gün əvvəl
Venesuela Prezidentin səlahiyyətlərini icra edən şəxs təyin edilib
- 1 gün əvvəl
-
1 gün əvvəl
Tramp: ABŞ-nin böyük neft şirkətləri Venesuelada fəaliyyətə başlayacaqlar
Son Xəbərlər
Azərbaycanda Vakansiyalar - Azvak.az
TAMAMİLƏ ÖDƏNİŞSİZ! - QAZANMAĞI ÖYRƏN
Venesuela ABŞ hökumətini inkişaf yönümlü əməkdaşlıq proqramı üzərində birgə işləməyə dəvət edir
OPEC+ neft hasilatını sabit saxlamaq qərarını təsdiqlədi
Venesuela nə qədər neft ehtiyatına malikdir?
Venesuela Prezidentin səlahiyyətlərini icra edən şəxs təyin edilib
ABŞ Venesuelanı idarə edəcək
ABŞ-dən Venesuelaya tarixi müdaxilə




























